首页
>
政府机构
>
教育局
>
工作动态
> 正文
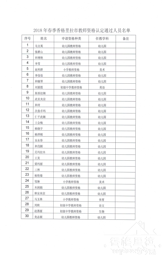
2018年春季教师资格认定通过人员公告
发布时间:2018-07-04 15:36:49 来源:市教育局
责任编辑:任宗泉
·
林业技术推广站开展苗木病虫害防治及苗...
·
金江林场(站)召开防灾防损知识培训暨...
·
市林业局对2016年度全市林下经济项目进...
·
五境乡召开今冬明春森林防火暨资源林政...
·
深入基层 做好职工维稳工作
·
扶持林下经济 带领农民致富增收
·
确保森林资源和人民群众财产安全维护林...
·
哈巴保护所召开森林防火暨资源林政管理...
·
五境乡组织开展半专业扑火队培训
·
深入基层 指导林政工作
人社局开展农村劳...
旅发委视察旅游购...
香格里拉市旅游监...
加强旅游市场巡查...
主办:中共香格里拉市委 365838.com
承办:香格里拉市委信息技术管理中心 香格里拉市电子政务管理中心 0887-8222726
备案号:滇ICP备13000589号
技术支持:
云南网